I recently reviewed “Approach To Febrile Infants In The Emergency Department” From The Children’s Hospital of Philadelphia With Links To The Relevant Clinical Pathways.
Today, I’m reviewing Dr. Sean Fox’s excellent post Urinary Tract Infection (UTI) Algorithm, PUBLISHED DECEMBER 21, 2018, on his outstanding Pediatric EM Morsels.
The way I like to review Dr. Fox’s posts is to first quickly review all the posts in his introduction to the post topic and then to review the post itself [This is easy to do because all of his posts are wonderfully succinct]. And in this way I get a quick and excellent review of the topic of Dr. Fox’s blog post.
So here is the intro to Dr. Fox’s Urinary Tract Infection (UTI) Algorithm:
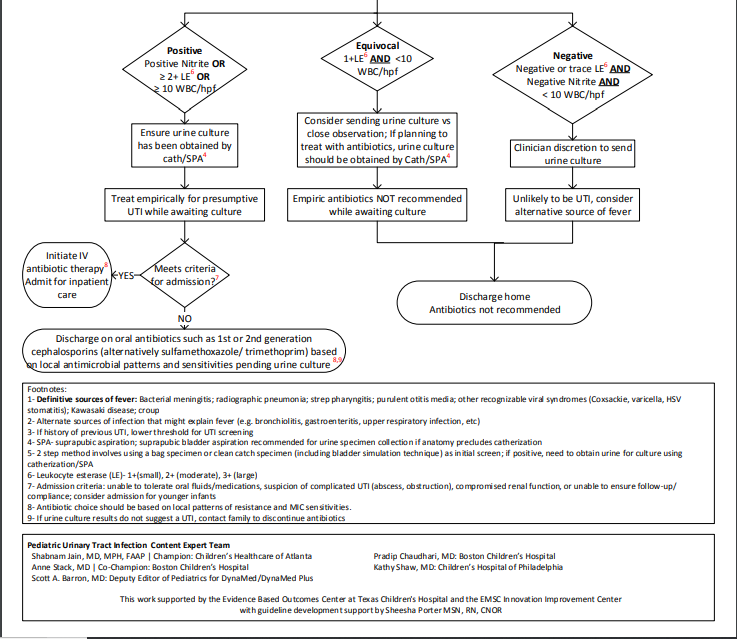
It often seems that we are on the search for the omnipresent Urinary Tract Infection (UTI) in the Pediatric ED. “You have fever? Let’s check the urine.” “You have belly pain? Let’s check the urine.” “You think your urine smells funny? Let’s check the urine.” Urinalysis, it would appear, is the most useful of tests (or, at least it is the “easiest” to order). Without a doubt, UTI is a prevalent condition and warrants our contemplation (and, thus has been contemplated often in the Morsels (UTI and Concurrent Meningitis, Antibiotics for UTI, UTI and Duration of Fever, UTI). Surprisingly, the topic is a little more complex than merely ordering an Urinalysis. Fortunately, our friends at AAP Section on EM has developed a tool that we may us to help navigate through this complicated topic. Let’s take a moment to review their Urinary Tract Infection (UTI) Algorithm:
So I reviewed all of the above posts and then I reviewed the Urinary Tract Infection (UTI) Algorithm which I’ve included below:





